优米体育官网下载安装手机版技术部编辑纯氮设备性能试验和检验方法

优米体育官网下载安装手机版技术部编辑纯氮设备性能试验和检验方法
 检验分为出厂检验和成套性能试验。
1出厂检验
1.1配套的压力容器必须按《压力容器安全技术监察规程》规定进行检验,并提供相应的质量证明文件。
1.2各单元部机必须按相应部机的产品标准或技术文件在厂内试车合格(如受条件限制必须在现场检验时,应在合同中注明),并出具合格证明书。
1.3所有外购、外配件,如电机、压缩机、电控设备、泵、阀门、仪表及其他部机等,均须有制造厂合格证明书。
1.4硅胶、分子筛、活性氧化铝和焊丝应进厂复验合格。
2成套空分设备现场性能检验
2.1成套空分设备性能检验条件:
2.1.1纯氮设备成套性能试验必须在工况稳定后进行。连续测定时间为48h或按合同规定,每小时测定1次,取其平均值。
2.1.2性能试验期内所测数据在下列波动范围内不进行修正:即压力和温度在95%~105%,压差在98%~102%,转速在97%~103%,频率在99%~101%范围内。
2.1.3由于客观条件限制,测试工况偏离本标准规定或偏离设计工况时,测试结果应予换算。
2.2测量仪表及精度的要求见表7。
 
测量仪表及精度的要求见表7 
 
2.3产品氮流量的测定
2.3.1测定产品氮流量应与纯度测定同步进行,测前应检查所有管接头不得有任何泄露或堵塞。
2.3.2流量测量装置的安装使用按GB/T 2624的规定。节流装置的孔板一般采用标准孔板,安装在出分馏塔的氮气总管上。
2.3.3产品氮气的流量可按式(1)加以修正。
产品氮气的流量可按式(1)加以修正 
式中:p,p1——工作状态下和设计工况下孔板前气体压力,MPa(绝);
T,T1——工作状态下和设计工况下孔板前气体温度,K;
V1——测试时2次仪表的流量读数,m3/h;
V——修正后的气体流量,m3/h。
注:流量如经过仪表(温度、压力)自动修正,则流量无须经式(1)修正。
2.3.4产品液态氮的测量采用液氮量筒测出每小时的液体体积(或采用称重法测出每小时的液体质量),应换算至标准状态下的气体量。
2.4空气流量的测定
2.4.1进分馏塔空气流量应在空气冷却塔或分子筛吸附器后的空气管道上测定。
2.4.2空气的干燥部分流量测定按GB/T 2624规定。
2.4.3空气流量按式(2)修正。
 
空气流量按式(2)修正 
 
式中:ρ,ρ1——空气密度的实际值和设计计算值,kg/m3;
p,p1——工作状态下和设计工况下的压力,MPa(绝);
T,T1——工作状态下和设计工况下气体在孔板前的温度,K;
V,V1——修正后实际流量和仪表读数,m3/h.。
2.5产品氮纯度测定
2.5.1分析氮纯度的取样点在出分馏塔氮气总管道上。
2.5.2氮气中氧含量的分析:采用经标准气校验过的分析仪表测定或按GB/T 5831规定,发生争议时,按GB/T 5831规定的测定方法仲裁。
2.6压缩功耗测定
功率消耗根据电动机输入功率和电动机效率进行计算。
2.6.1电动机输入功率按式(3)计算。
电动机输入功率按式(3)计算 
式中:N——输入电动机端子的功率,kW;
I——输入电流,A;
U——输入电压,V;
cosj——功率因数。
2.6.2压缩功率按式(4)计算。
 
压缩功率按式(4)计算 
压缩功率按式(4)计算 
 
 
N1——压缩机主油泵电耗,kW;
N2——压缩机润滑系统抽风机电耗,kW;
N3——膨胀机油泵电耗,kW;
N4——空冷塔水泵电耗,kW;
N5——水冷塔水泵电耗,kW;
N6——水冷塔抽风机电耗,kW。
压缩功率按式(4)计算 
 
2.8噪声测定
2.8.1透平压缩机噪声测定方法按GB/T 2888的规定。
2.8.2放空消声的噪声测定方法可参照GB/T 2888的规定。
2.8.3测定的噪声包括辅机噪声。
2.9振动测定
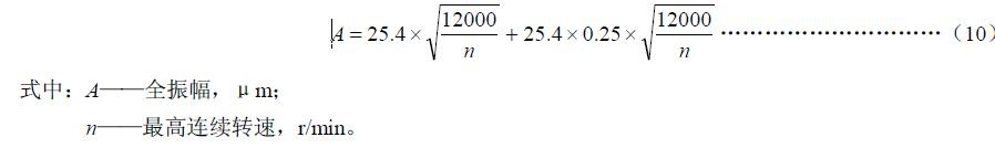
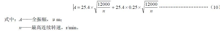
2.9.1透平压缩机的轴振动值按式(10)计算,或按JB/T 6443执行。
 
 
透平压缩机的轴振动值按式(10)计算 
 
 
式中:A——全振幅,μm;
n——连续转速,r/min。
2.9.2透平压缩机的轴振动在靠近径向轴承处测定。
2.10仪表投表率计算
2.10.1仪表投表率按式(11)计算。
仪表投表率按式(11)计算 
 
2.10.2仪表总数为控制室表盘上和(或)计算机控制的测点数,就地的仪表数和分析室分析用仪表数的总和,不包括因用户原因而无法投运的仪表。
3验收规则
a纯氮设备各单元部机一般应在制造厂试验合格,受条件限制不能在制造厂进行试验时,允许在成套设备性能试验前,在用户处现场进行试验。各单元的部机均须检验合格才允许投入成套设备的性能试验。
b成套纯氮设备须经48h的连续试验或按合同规定,各项指标应符合表6或合同要求。
4标志、包装、运输及贮存
纯氮设备应在明显位置设置标牌,其尺寸和要求应符合GB/T 13306的规定。
纯氮设备的铭牌内容至少应包括:
a)产品型号;
b)产品商标;
c)产品名称;
d)主要性能;
e)出厂日期;
f)制造厂名。
5纯氮设备(含配套机组在内)的出厂技术文件应包括:
a)出厂合格证;
b)使用说明书;
c)安装技术要求;
d)压力容器质量证明书、竣工图;
e)随机技术文件及图样清单(按合同规定的清单提出);
f)装箱清单;
g)成套交货范围。
6纯氮设备的包装运输参照GB/T 13384和JB/T 2536规定。包装运输采取以成套设备为单位,分箱包装。
7设备安装前,所有设备应安放在排水畅通或有遮盖的场所内,离地300mm,妥善保管,并符合单机说明书的有关规定,超过规定的油封期时应重新油封。
8纯氮设备到货后18个月或出厂后24个月(分馏塔整体组装出厂的设备出厂后18个月)内应安装运转。在此期间内,除易损件外的所有零部件,如因制造质量问题影响正常运转,制造厂应无偿地予以修理或更换。
销售电话:贾经理 158-9969-7899
技术电话:阳先生 137-2828-6358
邮箱:zhenghang@vip.126.com
公司地址:广东省东莞市寮步镇石龙坑金园新路53号A栋
备案号:粤ICP备12059146号 粤公网安备 44190002001171号
Baidu
map